Home Page

     Talk presented at Constrained Dynamics and Quantum Gravity 05
     11-17 2005, Cala Gonone, Sardinia, Italy

      See also gr-qc/0507053
             and  hep-th/0412255    ,    hep-th/0411053   ,  gr-qc/0211085   , hep-th/0110079     ,  hep-th/0011216     
 

 

 
 


 
 


 
 


 
 


 


 
 
 


 
 
 


 



 


 
 


 
 
 


 
 


 

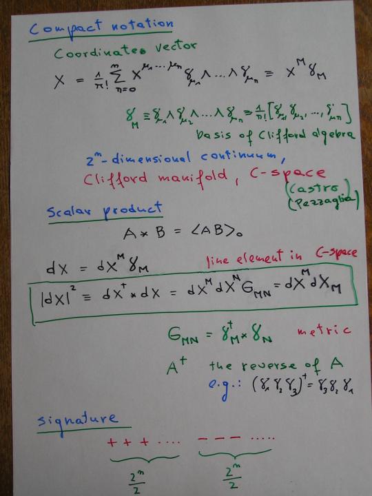
Below I redisplay the above slide with magnification:


 
 



 

Below I display magnification of a portion of the previous slide:


 


 
 


 
 



                                               Appendix

     Below are some auxiliary transparancies, not presented in this talk.
     They are taken from some of my previous talks.